BRUTE FORCE

BRUTE FORCE

3.1Introduction

Brute force is a straightforward approach to problem solving, usually directly based on the problem’s statement and definitions of the concepts involved.Though rarely a source of clever or efficient algorithms,the brute-force approach should not be overlooked as an important algorithm design strategy. Unlike some of the other strategies, brute force is applicable to a very wide variety of problems.

For some important problems (e.g., sorting, searching, string matching), the brute-force approach yields reasonable algorithms of at least some practical value with no limitation on instance size

Even if too inefficient in general, a brute-force algorithm can still be useful for solving small-size instances of a problem. A brute-force algorithm can serve an important theoretical or educational purpose.

Sorting Problem Brute force approach to sorting

Problem:Given a list of n orderable items (e.g., numbers, characters from some alphabet, character strings), rearrange them in nondecreasing order.

Selection Sort

ALGORITHM SelectionSort(A[0..n - 1])

//The algorithm sorts a given array by selection sort

//Input: An array A[0..n - 1] of orderable elements

//Output: Array A[0..n - 1] sorted in ascending order

image

Example:

clip_image002

Performance Analysis of the selection sort algorithm: The input’s size is given by the number of elements n.

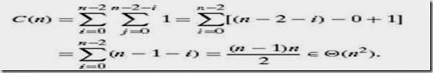
The algorithm’s basic operation is the key comparison A[j ]<A[min]. The number of times it is executed depends only on the array’s size and is given by

clip_image004

Thus, selection sort is a O(n2) algorithm on all inputs. The number of key swaps is only O(n) or, more precisely, n-1 (one for each repetition of the i loop).This property distinguishes selection sort positively from many other sorting algorithms.

Bubble Sort

Compare adjacent elements of the list and exchange them if they are out of order.Then we repeat the process,By doing it repeatedly, we end up ‘bubbling up’ the largest element to the last position on the list

ALGORITHM BubbleSort(A[0..n - 1])

//The algorithm sorts array A[0..n - 1] by bubble sort

//Input: An array A[0..n - 1] of orderable elements

//Output: Array A[0..n - 1] sorted in ascending order

image

image

The first 2 passes of bubble sort on the list 89, 45, 68, 90, 29, 34, 17. A new line is shown after a swap of two elements is done. The elements to the right of the vertical bar are in their final positions and are not considered in subsequent iterations of the algorithm.

Bubble Sort the analysis

Clearly, the outer loop runs n times. The only complexity in this analysis in the inner loop. If we think about a single time the inner loop runs, we can get a simple bound by noting that it can never loop more than n times. Since the outer loop will make the inner loop complete n times, the comparison can't happen more than O(n2) times.

The number of key comparisons for the bubble sort version given above is the same for all arrays of size n.

clip_image008

The number of key swaps depends on the input. For the worst case of decreasing arrays, it is the same as the number of key comparisons.

clip_image010

Observation: if a pass through the list makes no exchanges, the list has been sorted and we can stop the algorithm Though the new version runs faster on some inputs, it is still in O(n2) in the worst and average cases. Bubble sort is not very good for big set of input.How ever bubble sort is very simple to code.

General Lesson From Brute Force Approach

A first application of the brute-force approach often results in an algorithm that can be improved with a modest amount of effort.Compares successive elements of a given list with a given search key until either a match is encountered (successful search) or the list is exhausted without finding a match (unsuccessful search).

Sequential Search

ALGORITHM SequentialSearch2(A[0..n], K)

//The algorithm implements sequential search with a search key as a // sentinel

//Input: An array A of n elements and a search key K

//Output: The position of the first element in A[0..n - 1] whose value is

// equal to K or -1 if no such element is found

image

Brute-Force String Matching

Given a string of n characters called the text and a string of m characters (m = n) called the pattern, find a substring of the text that matches the pattern. To put it more precisely, we want to find i—the index of the leftmost character of the first matching substring in the text—such that

image

clip_image012

The algorithm shifts the pattern almost always after a single character comparison. in the worst case, the algorithm may have to make all m comparisons before shifting the pattern, and this can happen for each of the n - m + 1 tries.Thus, in the worst case, the algorithm is in θ(nm).

Closest-Pair Problem Find the two closest points in a set of n points (in the two-dimensional Cartesian plane).

Brute-force algorithm

Compute the distance between every pair of distinct points and return the indexes of the points for which the distance is the smallest.

Comments

Popular posts from this blog

Double-Ended Priority Queues:Interval Heaps.

Floyd’s Algorithm to find -ALL PAIRS SHORTEST PATHS.

Binary Space Partitioning Trees:BSP Tree as a Hierarchy of Regions.